Desde hace años, circula la idea de que la música de la Quinta Sinfonía de Beethoven puede destruir células cancerosas sin afectar a las sanas. Aunque muchos creen que el estudio de la Dra. Márcia Alves Marques Capella se trata de una malinterpretación, la realidad es que la investigación sobre el impacto de las vibraciones acústicas en células es real y ha mostrado resultados prometedores.
El mito de la Quinta Sinfonía como tratamiento contra el cáncer

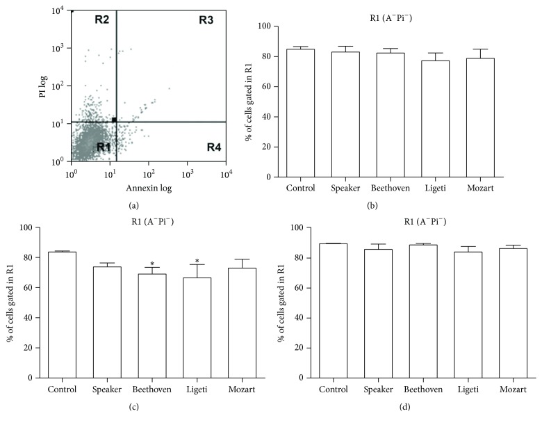
En diciembre de 2024, una publicación viral en Facebook afirmó que la música de la Quinta Sinfonía de Beethoven eliminaba el 20 % de las células cancerosas en laboratorio. Este rumor no era nuevo y se remontaba a un artículo de O Globo en 2011, que después fue recogido por otras medios, que mencionaba estudios de la Dra. Márcia Alves Marques Capella, del Instituto de Biofísica Carlos Chagas Filho en Brasil.
Su investigación, publicada en Noise and Health (2013) y Evidence-Based Complementary and Alternative Medicine (2016), exploró cómo la música podía inducir cambios en células cancerosas de mama. Sin embargo, los estudios nunca afirmaron que Beethoven tuviera un efecto curativo, ni cuantificaron la muerte celular con exactitud.
Además, la Dra. Capella aclaró que sus experimentos fueron realizados en placas de Petri y que sus hallazgos no podían extrapolarse a tratamientos en humanos. Aunque se observaron cambios en la morfología celular y en la expresión genética, no hubo evidencia de que la música de Beethoven por sí sola pueda tratar el cáncer.
A pesar de ello, el interés en la mecanobiología —la ciencia que estudia cómo los estímulos físicos afectan las células— ha crecido. La idea de que el sonido influye en la biología celular no es completamente infundada, aunque está lejos de las afirmaciones virales que circulan en redes sociales.
La mecanobiología y las vibraciones acústicas en células vivas

La mecanobiología ha revelado que las células pueden percibir y responder a cambios mecánicos en su entorno, incluidas las ondas acústicas. Las células detectan estas vibraciones mediante proteínas mecanosensibles y sensores en sus membranas (Yang et al., 2015). Sorprendentemente, también pueden generar vibraciones propias.
Estudios han demostrado que bacterias como Bacillus subtilis emiten ondas sonoras en un rango de 8 a 43 kHz (Matsuhashi et al., 1998). También se han registrado vibraciones mecánicas en células de levadura (Pelling, 2004) y células madre (Ventura et al., 2017). Esto sugiere que el sonido no solo influye en las células, sino que ellas mismas pueden utilizarlo como señal biológica.
Investigaciones revisadas por Kwak et al. (2022) en la Universidad de Oslo han analizado cómo distintos tipos de ondas (sonidos puros, voz humana, música) afectan cultivos celulares. Utilizando frecuencias de entre 20 y 10.000 Hz con una potencia de 90 dB, los resultados mostraron que:
- La migración celular humana aumentó a 100 Hz, pero disminuyó con frecuencias superiores a 1600 Hz (Mohammed et al., 2016).
- Una frecuencia de 440 Hz incrementó la expresión genética en células de ratón (Kumeta et al., 2018).
- En bacterias, ciertos tonos promovieron la formación de colonias, sugiriendo que las ondas sonoras pueden regular su crecimiento.
Un estudio clave es el de Matsuhashi et al. (1998), que descubrió que Bacillus carboniphilus crecía más cuando se exponía a ondas entre 6 y 38 kHz, mientras que Bacillus subtilis generaba ondas en el mismo rango. Esto sugiere que las bacterias podrían comunicarse a través del sonido.
¿Podría el sonido aplicarse en tratamientos médicos?

Los estudios han demostrado que el sonido tiene efectos sobre la proliferación celular, la migración y la expresión genética. Sin embargo, los resultados varían según la frecuencia, la potencia y el tipo de célula analizada, lo que dificulta establecer un patrón claro.
Un área donde estas investigaciones podrían tener aplicaciones es la oncología. Se ha observado que ciertas frecuencias reducen la migración de células cancerosas e incluso inducen su apoptosis (muerte celular programada). Aunque esto es prometedor, falta investigación para comprender si este efecto puede replicarse en tejidos humanos y convertirse en una herramienta terapéutica.
Actualmente, existen tecnologías como los ultrasonidos de alta intensidad (HIFU) que se utilizan en medicina para destruir tumores mediante ondas acústicas focalizadas. Sin embargo, esto es muy diferente de exponer células a música en un laboratorio.
La importancia de diferenciar entre ciencia y desinformación
El caso de la Quinta Sinfonía de Beethoven es un ejemplo claro de cómo la información científica puede ser malinterpretada o exagerada. Si bien el sonido puede influir en las células, no hay pruebas de que una composición musical específica, por sí sola, pueda curar enfermedades.
La mecanobiología es un campo fascinante y en constante crecimiento, pero aún estamos lejos de comprender completamente cómo las vibraciones afectan la biología celular. Mientras tanto, es importante abordar estos temas con escepticismo y basarse en investigaciones rigurosas.
No hay evidencia de que la Quinta Sinfonía de Beethoven elimine células cancerosas, pero la ciencia ha demostrado que el sonido como la música puede influir en la biología celular. La mecanobiología sigue investigando estas interacciones, lo que podría abrir nuevas posibilidades en la medicina y la bioingeniería en el futuro.
Referencia:
- PMC/Exposure to Music Alters Cell Viability and Cell Motility of Human Nonauditory Cells in Culture. Link.
Relacionado
Descubre más desde Cerebro Digital
Suscríbete y recibe las últimas entradas en tu correo electrónico.
