Un estudio reciente, publicado en la revista Human Brain Mapping (por los investigadores Kseniya Krikova, Sanja Klein, Miriam Kampa, Bertram Walter, Rudolf Stark y Tim Klucken), encontró que los estímulos pornográficos están más fuertemente asociados con respuestas de recompensa en el cerebro en comparación con los estímulos monetarios y de juego en hombres sanos.
La pornografía y los juegos son dos de las actividades más comunes vinculadas a la adicción a Internet, pero los mecanismos neuronales que subyacen a sus procesos de condicionamiento no se comprenden bien. Investigaciones anteriores han demostrado que áreas específicas del cerebro, como la corteza orbitofrontal, la corteza cingulada anterior, la ínsula, la amígdala, el núcleo accumbens y el tálamo, están involucradas en el procesamiento de la recompensa.
El estudio se realizó en Alemania con 31 hombres sanos, diestros, de entre 19 y 38 años. Antes de comenzar el estudio a los participantes se les pidió elegir imágenes preferidas de tres categorías: fotografías pornográficas, capturas de pantalla de juegos y fotos de dinero.
La investigación utilizó un paradigma de condicionamiento clásico dentro de un escáner de resonancia magnética funcional (fMRI) para observar cómo el cerebro aprende a asociar estímulos neutros con recompensas. Se emparejaron figuras geométricas (estímulos condicionados, o CS) con las imágenes seleccionadas (estímulos incondicionados, o UCS) en 68 ensayos, permitiendo a los investigadores observar las respuestas cerebrales a estos estímulos.
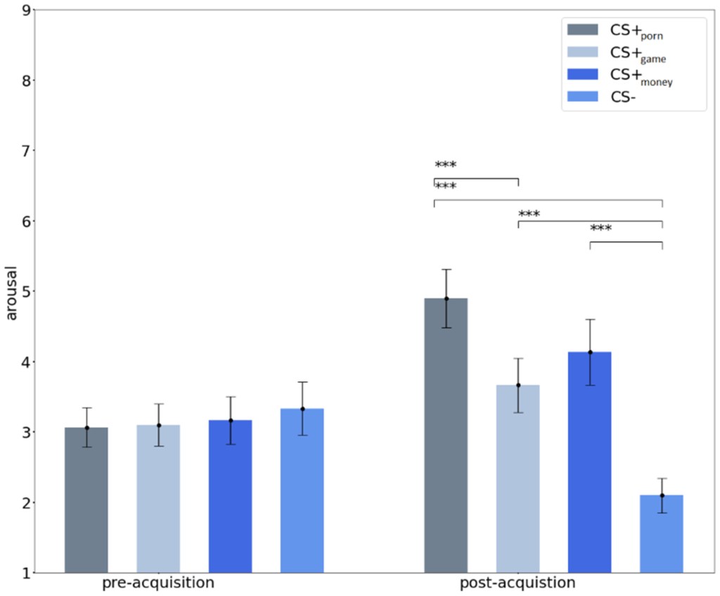
Los resultados mostraron que los estímulos pornográficos generaron respuestas significativamente más intensas en áreas clave del cerebro asociadas con el procesamiento de recompensas, como el núcleo accumbens bilateral y la corteza orbitofrontal medial derecha. Estos hallazgos sugieren que los estímulos pornográficos tienen un valor de recompensa más alto y un efecto de condicionamiento más fuerte en comparación con los estímulos monetarios y de juegos.

Esto se evidencia por la importante activación neuronal observada durante la anticipación de las recompensas pornográficas, así como por el aumento de las calificaciones subjetivas y las respuestas fisiológicas. Estos resultados coinciden con investigaciones anteriores que indican que la pornografía tiene un alto potencial adictivo debido a sus fuertes propiedades afectivas y de excitación.
Por el contrario, las respuestas neuronales más débiles a los estímulos monetarios y de juego, a pesar del condicionamiento exitoso en las medidas subjetivas y fisiológicas, sugieren que estas recompensas pueden ser menos potentes para activar los sistemas de recompensa del cerebro en usuarios no patológicos. Esto resalta la complejidad del procesamiento de la recompensa y sugiere que diferentes tipos de recompensas pueden activar mecanismos neuronales distintos.
En términos de implicaciones sociales, este estudio sugiere que la pornografía puede tener un alto potencial adictivo debido a sus fuertes propiedades afectivas y de excitación, lo que podría influir en los patrones de comportamiento y uso de internet en la sociedad actual.
Puedes leer el estudio completo aquí.
Relacionado
Descubre más desde Cerebro Digital
Suscríbete y recibe las últimas entradas en tu correo electrónico.

1 comentario en “La pornografía activa más el cerebro que los videojuegos o el dinero”
Pingback: Esta semana en la ciencia del 15 al 21 de julio del 2024